728x90
문제
완전 이진 트리의 root가 주어졌을 때, 이 트리의 노드의 개수를 반환할 것
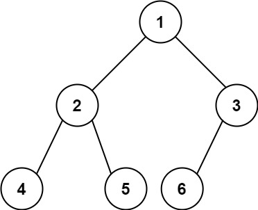
Example 1

Input: root = [1,2,3,4,5,6]
Output: 6
풀이
public int countNodes(TreeNode root) {
if (root == null) {
return 0;
}
return countNodes(root.left) + countNodes(root.right) + 1;
}
- root가 null이라면 리프 노드를 넘어선 것이니 카운트 X (0 반환)
- 재귀 호출 : 왼쪽 서브트리의 노드 개수 + 오른쪽 서브트리의 노드 개수 + 현재 노드를 카운팅하기 위한 1
- 시간복잡도 : O(N)