728x90
문제
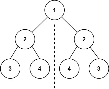
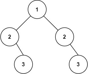
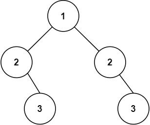
이진 트리의 루트가 주어졌을 경우, 좌우 대칭인지 여부를 판단할 것


풀이
참고
LeetCode 101(Symmetric Tree, java)
0. 문제 https://leetcode.com/problems/symmetric-tree/ Symmetric Tree - LeetCode Level up your coding skills and quickly land a job. This is the best place to expand your knowledge and get prepared for your next interview. leetcode.com 1. 문제 설명 -
devraphy.tistory.com
public boolean isSymmetric(TreeNode root) {
return checkSymmetric(root.left, root.right);
}
private boolean checkSymmetric(TreeNode leftNode, TreeNode rightNode) {
if (leftNode == null && rightNode == null) {
return true;
}
if (leftNode == null || rightNode == null) {
return false;
}
if (leftNode.val != rightNode.val) {
return false;
}
return checkSymmetric(leftNode.left, rightNode.right) && checkSymmetric(leftNode.right, rightNode.left);
}
- 처음 했던 고민 : 좌우를 비교해야 하는데, isSymmetric은 파라미터를 하나만 받으니 이 함수로 재귀 호출은 안 될 것 같음
- 블로그 참고 후 해결 : 새 함수를 작성하면 된다 ㅎㅅㅎ...
- checkSymmetric()
- leftNode와 rightNode가 모두 null일 경우, 동시에 끝에 닿았다는 뜻이므로 true 반환
- leftNode와 rightNode 둘 중 하나만 null일 경우, false 반환
- leftNode.val과 rightNode.val이 다르다면 false 반환
- 좌우 대칭을 비교해야 하는 것이기 때문에 leftNode의 left와 rightNode의 right, leftNode의 right와 rightNode의 left를 checkSymmetric()의 파라미터로 재귀 호출
- 시간복잡도 : O(N)
'JAVA > Coding Test Study' 카테고리의 다른 글
| [Easy] LeetCode - no.637 Average of Levels in Binary Tree : Java (0) | 2024.10.25 |
|---|---|
| [Easy] LeetCode - no.112 Path Sum : Java (0) | 2024.10.24 |
| [Easy] LeetCode - no.226 Invert Binary Tree : Java (0) | 2024.10.23 |
| [Easy] LeetCode - no.100 Same Tree : Java (1) | 2024.10.23 |
| [Easy] LeetCode - no.104 Maximum Depth of Binary Tree : Java (0) | 2024.10.23 |