728x90
문제
이진 트리의 root가 주어졌을 때, 각 레벨별 평균을 구하여 반환할 것
Example 1

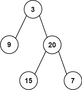
Input: root = [3,9,20,null,null,15,7]
Output: [3.00000,14.50000,11.00000]
Explanation: The average value of nodes on level 0 is 3, on level 1 is 14.5, and on level 2 is 11.
Hence return [3, 14.5, 11].
풀이
참고
[LeetCode] 637. Average of Levels in Binary Tree - Java[자바]
[LeetCode] 637. Average of Levels in Binary Tree - Java[자바]
velog.io
// BFS
public List<Double> averageOfLevels(TreeNode root) {
List<Double> list = new ArrayList<>();
Queue<TreeNode> queue = new LinkedList<>();
queue.add(root);
while(!queue.isEmpty()) {
int size = queue.size();
double sum = 0;
for (int i = 0; i < size; i++) {
TreeNode node = queue.poll();
sum += node.val;
if (node.left != null) {
queue.add(node.left);
}
if (node.right != null) {
queue.add(node.right);
}
}
list.add(sum / size);
}
return list;
}
- 레벨별 평균 계산이니 BFS 활용
- 레벨별 sum(double)과 queue.size()를 가지고 평균값 계산 후 list에 add()
- 시간복잡도 : O(N)
알고 나니 BFS를 활용하는게 정말 적절하다는 생각이 든다...
왜 혼자서는 떠올리지 못할까 ㅜ.ㅜ
'JAVA > Coding Test Study' 카테고리의 다른 글
| [D2] SWEA - 1859. 백만 장자 프로젝트 : Java (1) | 2024.10.25 |
|---|---|
| [Easy] LeetCode - no.530 Minimum Absolute Difference in BST : Java (1) | 2024.10.25 |
| [Easy] LeetCode - no.112 Path Sum : Java (0) | 2024.10.24 |
| [Easy] LeetCode- no.101 Symmetric Tree : Java (3) | 2024.10.23 |
| [Easy] LeetCode - no.226 Invert Binary Tree : Java (0) | 2024.10.23 |