728x90
https://leetcode.com/problems/path-sum/description/?envType=study-plan-v2&envId=top-interview-150
문제
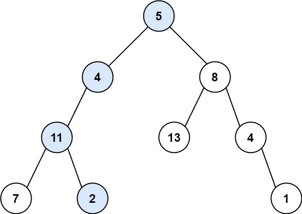
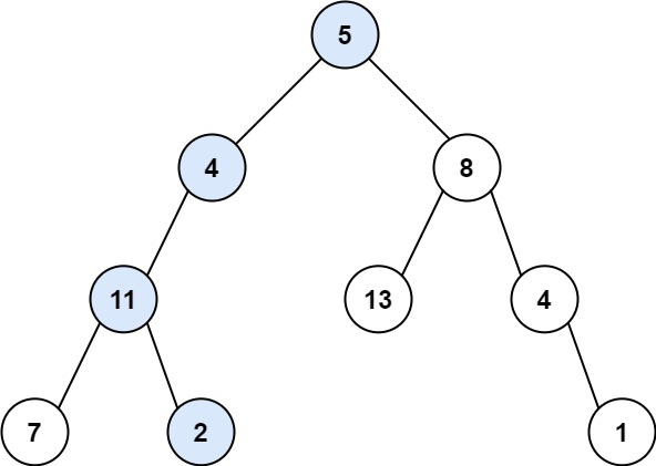
이진 트리의 root와 정수 targetSum이 주어졌을 때, 트리의 루트로부터 리프까지의 합이 targetSum과 일치하는지 여부를 판단할 것
Example 1

Input: root = [5,4,8,11,null,13,4,7,2,null,null,null,1], targetSum = 22
Output: true
Explanation: The root-to-leaf path with the target sum is shown.
풀이
참고
LeetCode 112(Path Sum, java)
0. 문제 https://leetcode.com/problems/path-sum/ Path Sum - LeetCode Level up your coding skills and quickly land a job. This is the best place to expand your knowledge and get prepared for your next interview. leetcode.com 1. 문제 설명 - 문제에서
devraphy.tistory.com
public boolean hasPathSum(TreeNode root, int targetSum) {
if (root == null) {
return false;
}
if (targetSum - root.val == 0 && root.left == null && root.right == null) {
return true;
}
return hasPathSum(root.left, targetSum - root.val) || hasPathSum(root.right, targetSum - root.val);
}
- 조건 1 : root가 리프 노드를 넘었다면 false 반환
- 조건 2: targetSum에서 root.val을 뺀 값이 0이고, 왼쪽과 오른쪽 노드가 null이라면 (root가 리프 노드라면) true 반환
- 재귀 호출 : 왼쪽 노드와 targetSum - root.val, 오른쪽 노드와 targetSum - root.val을 인자로 넘기고, 둘 중 하나라도 충족되는 것이 있다면 true
- 시간복잡도 : O(N)
'JAVA > Coding Test Study' 카테고리의 다른 글
| [Easy] LeetCode - no.530 Minimum Absolute Difference in BST : Java (1) | 2024.10.25 |
|---|---|
| [Easy] LeetCode - no.637 Average of Levels in Binary Tree : Java (0) | 2024.10.25 |
| [Easy] LeetCode- no.101 Symmetric Tree : Java (3) | 2024.10.23 |
| [Easy] LeetCode - no.226 Invert Binary Tree : Java (0) | 2024.10.23 |
| [Easy] LeetCode - no.100 Same Tree : Java (1) | 2024.10.23 |