728x90
문제
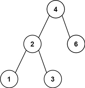
이진 탐색 트리(BST)의 root가 주어졌을 때, 노드들 사이의 최소 차이를 반환할 것
Example 1

Input: root = [4,2,6,1,3]
Output: 1
풀이1
public int getMinimumDifference(TreeNode root) {
List<Integer> values = new ArrayList<>();
Queue<TreeNode> queue = new LinkedList<>();
queue.add(root);
while(!queue.isEmpty()) {
TreeNode cur = queue.poll();
values.add(cur.val);
if (cur.left != null) {
queue.add(cur.left);
}
if (cur.right != null) {
queue.add(cur.right);
}
}
Collections.sort(values);
int min = Integer.MAX_VALUE;
for (int i = 1; i < values.size(); i++) {
min = Math.min(min, values.get(i) - values.get(i - 1));
}
return min;
}
- BFS 활용
- List에 각 노드의 값을 add()한 후 Collections.sort() (오름차순 정렬)
- for문 내에서 Math.min()을 사용하여 최소 차이를 계산
- 시간복잡도 : O(N log N) (BFS 시간복잡도 = O(N), 정렬 시간복잡도 = O(N log N), for문 시간복잡도 = O(N))
💬 코드를 짜면서도 이건 아니다 싶었지만 오로지 통과하기 위해 만듦...
풀이2
참고
[LeetCode] 530. Minimum Absolute Difference in BST [JAVA(자바)]
문제 👉 1. 문제 (BST의 최소 절대 차이) 이진 검색 트리 (BST)의 루트가 주어지면 트리에 있는 두 개의 서로 다른 노드 값 간의 최소 절대 차이를 반환합니다. Input: root = [4,2,6,1,3] Output: 1 Input: root =
hardenkim.tistory.com
// BST + 중위순회 = 오름차순
int minValue;
Integer preValue;
public int getMinimumDifference(TreeNode root) {
minValue = Integer.MAX_VALUE;
preValue = null;
inorder(root);
return minValue;
}
private void inorder(TreeNode root) {
if (root == null) {
return;
}
// left
inorder(root.left);
// self
if (preValue != null) {
minValue = Math.min(minValue, root.val - preValue);
}
preValue = root.val;
//right
inorder(root.right);
}
- 이진 탐색 트리(BST)는 중위 순회 시 오름차순 정렬되어 있음
- preValue를 Integer로 선언 : null을 다루기 위함
- inorder()
- 중위 순회 함수
- 왼쪽 서브트리 처리
- 노드 스스로 처리
- preValue가 null이 아닐 경우 : 이전 값이 있으니 min 계산 가능 -> preValue 업데이트
- preValue가 null일 경우 : 이전 값이 없으니 preValue 업데이트만 함
- 오른쪽 서브트리 처리
- 시간복잡도 : O(N)
'JAVA > Coding Test Study' 카테고리의 다른 글
| [D2] SWEA - 1954. 달팽이 숫자 : Java (0) | 2024.10.25 |
|---|---|
| [D2] SWEA - 1859. 백만 장자 프로젝트 : Java (1) | 2024.10.25 |
| [Easy] LeetCode - no.637 Average of Levels in Binary Tree : Java (0) | 2024.10.25 |
| [Easy] LeetCode - no.112 Path Sum : Java (0) | 2024.10.24 |
| [Easy] LeetCode- no.101 Symmetric Tree : Java (3) | 2024.10.23 |